论述降低接地电阻的综合措施
1 接地装置在电力网中的重要性
(1)接地的作用主要是防止人身遭受电击、设备和线路遭受损坏、预防火灾、防止雷击、防止静电损害和保障电力系统正常运行。近年来,国内许多地区连续发生多起因接地网不满足要求而引起的设备损坏事故,同时雷击是导致电网事故的主要自然灾害之一,雷击引发的电网事故占总事故的50%以上,因此良好的接地装置应是防雷的重要措施。
(2)接地装置在防雷中的作用。雷电的破坏作用主要是雷电流引起的,为了防止雷击事故的发生,必须了解接地装置上可能出现的最大电位。一般来说,雷电流通过单根引下线的全部电压降是:
UFJ=i×Rch+L0×l×di/dt
式中i--雷电流,kA
Rch--接地装置的冲击电阻,Ω
L0--单位长度的电感,μL/m
L--接地引下线的长度,m
UFJ--电压降,kV
di/dt--雷电流的陡度,kV/μs
从上述公式中,我们可以看出,在防雷接地装置中,接地电阻阻值越小,则瞬间冲击接地电压降就越小,遭受雷击的危险性就越小,因此足够小的接地电阻值和安全可靠的防雷接地装置是防雷的重要保证。
2 接地的形式
接地极按其布置方式可分为外引式接地极和环路式接地极。若按其形状,则有管形、带形和环形几种基本形式。若按其结构,则有自然接地极和人工接地极之分。用来作为自然界地极的有上下水的金属管道、与大地有可靠连接的建筑物和构筑物的金属结构、敷设在地下而其数量不少于两根的电缆金属包皮及敷设于地下的各种金属管道(但可燃液体以及可燃或爆炸的气体管道除外)。用来作为人工接地极的有钢管、角钢、扁钢和圆钢等钢材,在有化学腐蚀性的土壤中,则应采用镀锌的钢材或铜质的接地极。
电气设备敷设接地装置后当然比没有敷设接地装置时要安全得多,但是接地装置的布置形式如果是单根接地极或外引式接地极,由于电位分布的不均匀,人体仍不免要受到电击的危险。此外,单根接地极或外引式接地极的可靠性也比较差,外引式接地极与室内接地干线相连接仅依靠两条干线,若这两条干线发生损伤时,整个接地干线就与接地极断绝。当然,两条干线同时发生损伤的情况是比较少的。
3 接地材料的选择及其应用
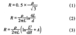
(1)接地材料对接地电阻的影响。决定接地电阻R大小的因素很多,我们以接地环作接地主体的情形来分析传统地网的接地公式:

式中ρ--土壤电阻率,Ω·m
d--钢材等效直径,m
S--地网面积,m2
H--埋设深度,m
L--接地极长度,m
A--形状系数。
式(1)表明,传统的接地方式在土壤电阻率已经确定的情况下,要想达到设计要求的电阻必须有足够的接地面积,要降低接地电阻只有扩大接地面积,每扩大4倍的接地面积,接地电阻会降低一倍。式(2)、(3)表明,要降低接地电阻的另一个方法是加大接地材料的尺寸,但耗材太大,效果并不理想,因此需要运用更好的接地材料和施工设计方法。
(2)接地材料的选择。广泛使用的接地工程材料有各种金属材料、接地体、降阻剂和离子接地系统等。金属材料如扁钢,也常用铜材替代,主要用于接地环的建设,这是大多接地工程都选用的。接地体有金属接地体(角钢、铜棒和铜板)这类接地体寿命较短,接地电阻上升快,地网改造频繁,维护费用比较高。从传统金属接地极(体)中派生出的特殊结构的接地体(带电解质材料),使用效果比较好,一般称为离子或中空接地系统。另外就是非金属接地体,使用比较方便,几乎没有寿命的约束,各方面比较认可。
(3)接地材料应用。通常防雷接地的接地电阻是10Ω,实际上有弱电设备的感应防雷都要求4Ω或1Ω的接地电阻。常常有个误区,认为作到10Ω、4Ω或1Ω的接地电阻就满足了设计要求,而没有考虑季节因数。因为,土壤电阻率是随季节变化的,规范所要求的接地电阻实际是接地电阻的最大许可值,为了满足这个要求,地网的接地电阻要求达到:R=Rmax/ω
式中Rmax--接地电阻最大值,就是我们说的10Ω、4Ω或1Ω的接地电阻
ω--是季节因数,根据地区和工程性质取值,常用值为1.45。所以,我们所说的接地电阻实际是
R=6.9Ω(Rmax=10Ω),R=2.75Ω(Rmax=4Ω),R=0.65Ω(Rmax=1Ω)
这样,地网才是合乎规范要求的,在土壤电阻率最高的时候(常为冬季)也满足设计要求。
(4)各种接地材料性能比较。接地材料是接地的工作主体,材料的选择很重要。不同的接地材料各有优势和局限。工程实践中要因地制宜地合理选用接地材料,用较低的代价达到工程设计要求。几种接地材料(方式)的比较,见表1所示。
表1 几种接地材料(方式)的比较
|
|
传统接地
|
降阻剂
|
非金属接地
|
中空接地棒
|
|
类型
|
接地网与接地极
|
接地极
|
|
地网建设
|
|
简单
|
|
较简单
|
|
适用环境
|
通用
|
普通地网通用
|
恶劣地质条件,腐蚀环境
|
地网面积小的城市或复杂山岩环境
|
|
价格比较
|
视土壤而定
|
低
|
较高
|
较高
|
|
抗腐蚀
|
低
|
有防腐作用
|
不被腐蚀
|
较好抗腐能力
|
|
耐候性
|
不好
|
普通
|
优异
|
较好
|
|
使用寿命
|
短
|
较长
|
最长
|
最长
|
4 降低接地电阻的技术措施
(1)更换土壤。这种方法是采用电阻率较低的土壤(如粘土、黑土及砂质粘土等)替换原有电阻率较高的土壤,置换范围在接地体周围0.5m以内。但这种取土置换方法对人力和工时耗费都较大。
(2)人工处理土壤。在接地体周围土壤中加入化学物,如食盐、木炭、炉灰、氮肥渣、电石渣、石灰等,提高接地体周围土壤的导电性。这种方法虽然工程造价较低且效果明显,但土壤经人工处理后,会降低接地的热稳定性、加速接地体的腐蚀、减少接地体的使用年限。因此,通常是在万不得以的条件下才建议采用。
(3)深埋接地极。当地下深处的土壤或水的电阻率较低时,可采取深埋接地极来降低接地电阻值。这种方法对含砂土壤最有效果。据有关资料记载,在3m深处的土壤电阻系数为100%,4m深处为75%,5m深处为60%,6.5m深处为50%,9m深处为20%,这种方法可不考虑土壤冻结和干枯所增加的电阻系数,但施工困难,土方量大,造价高,在岩石地带困难更大。
(4)多支外引式接地装置。如接地装置附近有导电良好及不冻的河流湖泊,可采用此法。但在设计、安装时,必须考虑到连接接地极干线自身电阻所带来的影响,因此,外引式接地极长度不宜超过100m。
(5)利用接地电阻降阻剂。在接地极周围敷设了降阻剂后,可以起到增大接地极外形尺寸,降低接触电阻的作用。
降阻剂是由几种物质配制而成的化学降阻剂,是具有导电性能良好的强电解质和水分。这些强电解质和水分被网状胶体所包围,网状胶体的空格又被部分水解的胶体所填充,使它不致于随地下水和雨水而流失,因而能长期保持良好的导电作用。这是目前采用的一种较新和积极推广普及的方法。
(6)采取伸长水平接地体。结合工程实际运用,经过分析结果表明,当水平接地体长度增大时,电感的影响随之增大,从而使冲击系数增大,当接地体达到一定长度后,再增加其长度,冲击接地电阻也不再下降。接地体的有效长度如表2所示。
表2 在不同土壤电阻率下的水平接地体有效长度
|
土壤电阻率(Ω·m)
|
500
|
1000
|
2000
|
|
水平接地体有效长度(m)
|
30~40
|
45~55
|
60~80
|
